Abstract
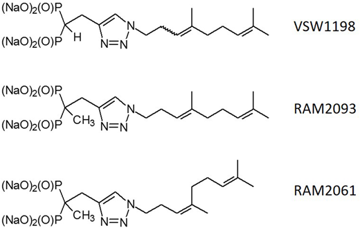
The enzyme geranylgeranyl diphosphate synthase (GGDPS) synthesizes the 20-carbon isoprenoid geranylgeranyl diphosphate which is used in protein geranylgeranylation reactions. Our work has demonstrated that GGDPS inhibitors (GGDPSIs) represent a novel therapeutic strategy for multiple myeloma (MM) by disrupting Rab protein geranylgeranylation. Treatment of MM cells with GGDPSI results in disruption of monoclonal protein trafficking, leading to induction of the unfolded protein response pathway (UPR) and apoptosis. We have previously reported preclinical studies with a lead GGDPSI, VSW1198 (a mixture of homogeranyl/homoneryl triazole bisphosphonates), demonstrating the agent's metabolic stability, prolonged half-life (plasma elimination half-life of 47.7 (±7.4) hrs), systemic distribution and confirmed in vivo disruption of geranylgeranylation (Haney et al., Invest New Drugs, 2018). Additional structure-function efforts have led to the development of the α-methylated derivatives RAM2093 (homogeranyl) and RAM2061 (homoneryl). Intriguingly the addition of the α-methyl group abrogates the effects of the olefin stereochemistry on inhibitor potency such that the individual isomers display near identical ability to disrupt protein geranylgeranylation in enzyme and cell assays (Matthiesen et al., Bioorg Med Chem, 2018). As little is known regarding the impact of olefin stereochemistry on the pharmacokinetic (PK)/pharmacodynamic (PD) properties of drugs, we pursued additional in vitro and in vivo studies of RAM2093 and RAM2061 and investigated the efficacy of the GGDPSIs in a mouse MM xenograft model. In MM cell lines, qRT-PCR and western blot analysis showed that both isomers induce activation of UPR/apoptotic markers in a dose-dependent manner and with similar potency. Single dose testing in CD-1 mice identified a maximum tolerated dose of 0.5 mg/kg IV for RAM2061 and 0.3 mg/kg for RAM2093. Liver toxicity was the primary barrier to dose escalation with both compounds. Analysis of blood samples showed elevated liver transaminase levels with normal bilirubin/alkaline phosphatase levels and histopathological examination confirmed evidence of hepatocyte injury at higher doses. Multi-dose schedules of 0.1 mg/kg twice a week (two weeks on, one week off, two weeks on) for RAM2061 and RAM2093, as well as 0.2 mg/kg (RAM2061) and 0.15 mg/kg (RAM2093) weekly x four weeks were tested. All dosing schedules were tolerated with the exception of the twice-weekly schedule for RAM2093. Consistent with the findings from our single dose testing, both multi-dose schedules induced transient elevation of hepatic transaminases. No loss of weight was observed and creatinine and CBC results were within normal limits for both single and multi-dose injected animals. Importantly, western blot analysis of mouse tissues collected from both RAM2061 and RAM2093 multi-dose-treated mice showed accumulation of unmodified Rap1a in the liver, kidney and spleen, indicating in vivo disruption of protein geranylgeranylation was achieved. Furthermore, using MM.1S MM cell flank xenographs in NOD-SCID mice, we observed a significant reduction in tumor growth in mice treated with either VSW1198 or RAM2061 relative to vehicle control. Lastly, PK/biodistribution studies with RAM2093 and RAM2061 were performed following a single dose of 0.3 mg/kg IV. Both compounds were detectable in plasma and liver samples for up to seven days post-injection demonstrating prolonged half-life and tissue distribution. The full PK parameters for both compounds will be presented and studies measuring drug levels in other tissues are ongoing. Taken together, these data suggest that RAM2061 and RAM2093 have equivalent anti-MM activity in vitro, but that RAM2061 is better tolerated in vivo. Whether this is a consequence of different PK properties vs. differences in tissue uptake or metabolism will be determined. These studies also confirm the in vivo efficacy of our novel GGDPSIs and support further development of these agents for the treatment of MM.
Holstein:Celgene: Consultancy, Membership on an entity's Board of Directors or advisory committees.
Author notes
Asterisk with author names denotes non-ASH members.

This icon denotes a clinically relevant abstract